
国仪量子技术(合肥)股份有限公司
白金会员
已认证

国仪量子技术(合肥)股份有限公司
白金会员
已认证
尽管大多数科学家都清楚地意识到:将 BET 方法应用于微孔吸附剂在本质上是错误的,但我们也必须承认:即便在我们知道或怀疑材料中存在微孔的情况下,多年来大家仍习惯性地使用这一流行方法。它之所以广受欢迎,很可能与其最终给出了一个“比表面积”这一量值有关——该量纲通常以 m² 表示,易于理解、想象,也便于在日常情境中与宏观尺度建立联系。
但既然我们期望科学不仅仅是满足想象,那么在微孔材料的情况下继续严格而合理地应用 BET 方法是否站得住脚?这正是我们接下来要讨论的问题。为此,在回顾 BET 方法的基本局限之后,我们将探讨:它是否、以及如何仍能对微孔吸附剂提供可重复、具有意义且有用的信息。
01 为什么在已知吸附剂为微孔材料时,不直接使用 Langmuir 方程?
微孔通常呈现 IUPAC 分类中的 I 型吸附等温线,和 Langmuir 等温线相似,因此看起来很自然也很简单:直接对这些等温线使用 Langmuir 方程即可。
然而,这其实并不合适,原因如下:
1.Langmuir 方程明确建立在“化学吸附 + 单层吸附 + 与气相自由接触”的特定条件下;而微孔吸附完全不同:
吸附不一定局限于表面位点(可能发生孔填充);
大多数吸附相并不与气相直接接触。
2.如果材料是纯微孔,其等温线是完美的 I 型,平台区就直接给出微孔容量,无需额外假设,因此也无需使用 Langmuir 方程。
3.微孔材料的吸附等温线通常是复合型,如:
I + II 型(分别由微孔与外表面贡献);
I + IV 型(分别由微孔与中孔贡献)。
而 Langmuir 理论只适用于单一机理,因此不能用于复合等温线。结果是:计算得到的“Langmuir 单层容量”并不会在拟合压力区间内达到饱和,而是在更高压力下才能完成,显示其理论不一致性。
因此,我们得出结论:诠释微孔材料的吸附等温线需要比 Langmuir 方程更恰当的方法。那么 BET 方程是否是一个好的选择?
02 为什么 BET 方法在微孔材料中也受到限制?
BET 方法本质上是一种数学分析技术,用于根据等温线推算“单层容量”和比表面积。其理论依赖多个假设,主要包括(简述):
1.表面均匀,各分子在第一层的吸附能相同
2.每一层的吸附分子都可作为下一层的吸附位点
3.多层吸附的厚度无空间限制
4.仅第一层的吸附能 E₁ 高于液化能 EL
5.同一层内分子间相互作用忽略不计
6.第二层及以上从第一层未饱和时就开始生长
随后在计算表面积时还需假设:
7.单层分子覆盖面积 σ 相同
8.分子排列为六方致密堆积
9.单分子面积 σ 来自该吸附质液态的密度
然而,对于微孔(以及一般多孔)材料:
假设 1、2 几乎从不成立;
假设 3 对多孔材料明显不成立;
假设 4 可视为近似;
假设 5 错误;
假设 6 通常成立,但对超微孔也例外。
假设 7-9 在存在微孔时同样不可靠。
因此,有必要重新讨论 BET 方法在微孔材料中的意义。
03 BET 单层容量在微孔材料中是否可重复?
即使实验精度已不再是问题(现代仪器精确且脱气稳定),
同一可靠等温线仍可能给出多个 BET 单层容量值。
原因是 BET 方程须拟合 BET 图线的线性区,但图中的多个区段可能看起来都很线性,选择具有主观性。
Brunauer 曾建议统一使用 0.05–0.35 的相对压力区间,这对 II 型或 IV 型(无强吸附或无微孔)较合适,但对于含微孔材料,这一范围远超实际线性区范围。
例如文中图 1(Ar/13X @87K)中:

图一:氩气在13X沸石上(87K下)的BET作图;na( po-p)随p/po的变化关系图
不同选择的线性区产生的单层容量差异达 30%。
因此需额外的“客观选择”标准:
BET 图线区间选择的两个客观标准
1.截距必须为正(C>0),否则无物理意义。
→可排除部分区间。
2.nₐ(p°−p) 必须随 p/p° 单调上升,否则区间过宽。
→进一步排除更高压力的区间。
应用这两条后,得到唯一合理的线性段,从而得到更一致的 BET 单层容量。
此外,我们还始终应用以下两个额外自洽性检查,并且从未见过它们失败:
a.将计算得到的 BET 单层容量标示在吸附等温线上,其对应的相对压力 p/p°ₘ 应位于用于 BET 拟合的压力区间之内.
b.另一种方式是:利用计算得到的 C 值,在 BET 方程中设定 nₐ = nₐₘ,重新计算 p/p°ₘ
重新计算的 p/p°ₘ 应与实验等温线上阅读得到的值相差不超过约 10%。
04 BET 假设能否由量热实验支持?
量热实验证明:
在能量均一的表面(如石墨化碳)上,分子–分子相互作用不可忽略;
在一般的氧化物表面上,表面能量常具异质性;
但二者部分抵消,使得 BET 假设在实践中“勉强可用”。
在微孔材料中,量热曲线显示:BET 所得“单层容量”恰对应吸附质与表面之间最强能量作用的区段。
这是关键观察。
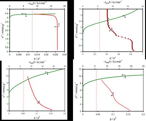
文中展示了 4 个示例(Silicalite、ZSM-48、微孔炭、微孔硅):
例 1:77 K 下甲烷在 Silicalite 上的吸附
如后续图形一样,吸附等温线从左下角开始,其初始陡峭部分与纵轴几乎重合。量热曲线从右下角开始,使用同一纵坐标(对应吸附量),而吸附微分焓标注在图上方。需要首先注意的是:在大部分吸附范围内,吸附焓始终维持在一个高且恒定的值:–17 kJ·mol⁻¹,超过液化焓的两倍。虽然数值恒定,但并不支持 BET 假设中的“第一层吸附能量恒定”,因为 Silicalite 是典型的微孔材料,这里观察到的并不是单分子层的铺展,而是微孔容积的填充。由于大部分孔填充(最高至约 4 mmol·g⁻¹)都发生在低于 10⁻² mbar 的压力下,因此只有直接量热法能给出可靠的吸附焓;而等量线法(isosteric method)在此完全不可靠,因为它受压力误差或微量杂质(如 N₂ 或 O₂)的影响极大。我们还注意到,这两条曲线呈现出显著的镜像关系:在 I 型等温线进入平台(微孔填满)后,吸附焓立即下降。使用前文的 BET 判据得到的表观单层容量为 4.2 mmol·g⁻¹,对应等温线的“拐点(knee)”。量热曲线显示,这个表观 BET 单层容量恰好对应吸附质的最强吸附部分。
例 2:77 K 下甲烷在微米级 ZSM-48 上的吸附
ZSM-48 的外表面积约 50 m²·g⁻¹,孔径 5–6 nm。尽管其孔道仍高度有序,但无论是等温线还是量热曲线,都与上面例子非常不同。吸附等温线呈明显的复合类型(I 型 + II 型),可归因于显著的外表面积——外表面的吸附效应与微孔吸附共同作用形成了此种等温线形态。
量热曲线也比前一个例子更为复杂,因为现在可以清楚地区分出三个阶段:
步骤 1(右下角的初始陡直部分):对应微孔填充,其吸附焓与在 Silicalite 上的情况一样高。陡直段前的小“尾巴”说明存在少量缺陷或异质性,这些在 Silicalite 中并未观察到(很可能也并不存在)。
步骤 2(从约 12 kJ·mol⁻¹ 开始,持续下降并接近液化焓):对应外表面上统计单层的形成(即第一层和其上层同时形成)。
步骤 3(最终的陡直部分,吸附焓为液化焓水平):对应上层吸附(即“多层吸附”)的形成。
在这里,表观 BET 单层容量(1.9 mmol·g⁻¹)再次恰好对应吸附质的最强吸附部分。

图二: 77 K 下四种体系的吸附等温线(绿色,左)与量热曲线(红色,右):甲烷在 Silicalite 上(左上)、甲烷在沸石 ZSM-48 上(右上)、氮气在微孔碳上(左下)以及氩气在微孔硅胶(Davison 950)(右下)上的吸附行为。
例 3:77 K 下氮气在微孔碳上的吸附
氮气在活性炭(charcoal 26)上的吸附呈现出与上例类似的几个特征:
等温线呈 I 型 + II 型复合;
量热曲线至少包含两个明显阶段。
但不同之处在于:初始吸附焓的下降更陡峭、范围更宽,这归因于活性炭的高异质性,同时氮气分子具有永久四极矩,因此比甲烷分子对表面异质性更敏感。
例 4:77 K 下氩气在微孔硅胶上的吸附
等温线再次呈复合类型,而吸附焓随吸附量稳步下降,说明材料包含宽分布的微孔,其中一部分是超微孔(与活性炭类似)。
05 最后,在存在微孔时,BET 方程还能具有意义并发挥作用吗?
众所周知,当材料中存在微孔时,“BET 单层容量”这一概念本身并不充分,也没有明确的物理或理论意义,因为微孔中不存在真正的单层结构。
然而,如果我们希望在微孔材料中依然保留 BET 方程的优势(前文所述),就必须引入另一个概念。
幸运的是,量热实验提供了一个启发: “BET 单层容量”在物理上对应着能量上被强烈吸附(或强烈滞留)的吸附质部分。因此,该由 BET 方程给出的量,可以更恰当地称为“BET强滞留容量(BET strong retention capacity)”。
这一容量包含两部分:
1.微孔容量;
2.非微孔表面上的单层容量
第二部分对应外表面积(external surface area),可通过αs或 t方法轻松确定,并不需要依赖等温线的超低压部分。
其中:若希望对微孔进行更精细的分析,并且拥有低压段数据,则优先使用αs方法;
若只需获得可靠的外表面积,则t方法更简单,只需在软件中加入适当的多层吸附方程,例如 Harkins–Jura t 曲线方程。
因此,推荐的计算流程如下:
1.利用 BET 方程与第 3 节给出的判据,计算BET强滞留容量
2.利用αs或t方法计算外表面积aext,并得到对应的外表面单层容量
3.计算微孔容量,即:
值得指出的是:微孔容量(针对特定吸附质)具有明确物理意义,远比“微孔体积”可靠;后者依赖于微孔内吸附质的未知堆积方式,因此常常不准确。
4.针对同一吸附质,通过最终平台(通常在 p/p° ≥ 0.9)上的饱和吸附量确定“饱和容量”(saturation capacity)
上述四个量值可以以软件方式自动计算
无论是什么吸附剂,若存在微孔,它们均具有明确意义;若不存在微孔,则“微孔容量”自然应接近零,仅在这种情况下,“BET 单层容量”这一概念才可以毫无歧义地恢复使用。
06结论
1.BET 方法并非为微孔吸附剂设计,因此不应对含微孔材料盲目使用(Langmuir 方程更不应如此)
2.除了 BET 图的线性判据之外,还需要额外两个判据(尤其在存在微孔时)以发挥 BET 方程的特定优势,即获得单一且可重现的“单层容量”值
3.微孔吸附剂的量热数据表明,按上述判据算得的 BET 单层容量主要对应与表面存在强能量相互作用的吸附量
4.对于含微孔的吸附剂,“BET单层容量”概念是不恰当的,可替换为“BET强滞留容量”。该量包含微孔吸附与外表面的统计单层吸附两部分
5.与其使用“不够可靠的 BET 表面积(对微孔不适用)”或“微孔体积(受未知堆积结构影响)”,更安全、物理意义更明确的量应是:
* BET强滞留容量
* 外表面积
* 微孔容量
* 饱和容量
这些概念更接近物理现实,因此更适用于可靠的解释与实际应用。

比表面积及孔径推荐设备国仪量子比表面及孔径分析仪Sicope40 介绍:
测试通量:4站并行测试
测试气体:N2、Ar、CO2、H2等其他非腐蚀性气体
测试范围:比表面积:0.0005 m2/g及以上;
孔径:0.35-500 nm孔径精准分析;
总孔体积:0.0001 cc/g及以上
测试精度:比表面积重复性(RSD)≤1.0%;最可几孔径重复偏差≤0.02 nm
分压范围:10-8~ 0.999
脱气处理:4站原位脱气;并配置独立样品预处理设备,独立6组控温
控温范围:室温~400 ℃,控温精度:±0.1 ℃
分析模型:BET比表面积、Langmuir表面积、t-plot分析、BJH、HK、DR/DA、NLDFT孔径分布
参考文献:
"Characterization of Porous Solids VII",Studies in Surface Science and Catalysis, Vol 160, P.Llewellyn, F.Rodriguez-Reinoso, J.Rouquerol and N.Seaton Eds.(2007), Elsevier, Amsterdam and Oxford, pp49-56
相关产品
更多
相关文章
更多
技术文章
2025-11-27技术文章
2025-11-27技术文章
2025-11-12技术文章
2025-11-05
虚拟号将在 秒后失效
使用微信扫码拨号